tannic acid
| post date: | dec 02,2021 |
| expiry date: | dec 02,2022 |
| detailed description: |
cas no. :1401-55-4
specs:bp/ap,gb5308-85,fcc (1981); fcc-iv payment method: t/t production capacity: 1200 t/year guangzhou topwork chemical co.,ltd. also has the capability in producing chinese gallnut raw materials, which are widely used in medical, chemical, food, printing & dyeing, astronavigation and national defense and micro-electronics areas, also the final goods usually exported to the us, japan, eu and the southeast asia etc. |
| cas registry number: |
1401-55-4 |
| synonyms: | ;chinese tannin;gallotannic acid;gallotannin;galloylglucose;glycerite;penta nm digalloyl glucose;quebracho;tannins;1,3,6-tris-o-(3,4,5-trihydroxybenzoyl)hexopyranose;1,2,3,4,6-pentakis-o-[(3,4-dihydroxy-5-{[(3,4,5-trihydroxyphenyl)carbonyl]oxy}phenyl)carbonyl]hexopyranose; |
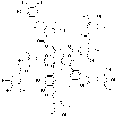
| molecular formula: | c76h52o46 |
| molecular weight: | 1701.1985 |
| molecular structure: |
|
| safety description: | s24/25:; |

