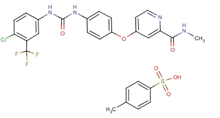
sorafenib tosylate
Date:2021-12-13 Categories:Related Application Product
| post date: |
dec 13,2021 |
| expiry date: |
jun 11,2022 |
| detailed description: |
cas no. :475207-59-1;4750207-59-1
sorafenib tosylate |
| cas registry number: |
475207-59-1;4750207-59-1
|
| synonyms: |
;sorafenib-d3;4-methyl-3-((4-(3-pyridinyl)-2-pyrimidinyl)amino)-n-(5-(4-methyl-1h-imidazol-1-yl)-3-(trifluoromethyl)phenyl)benzamide monomethanesulfonate;n-[4-chloro-3-(trifluoromethyl)phenyl]-n’-[4-[2-(n-methylcarbamoyl)-4-pyridyloxy]phenyl]urea tolsylate;sorafenib tsoh salt; |
| molecular formula: |
c21h16clf3n4o3·c7h8so<s |
| molecular weight: |
637.03 |
| molecular structure: |
|