pyrantel pamoate
Date:2021-12-17 Categories:Related Application Product
| post date: |
dec 16,2021 |
| expiry date: |
jun 14,2022 |
| detailed description: |
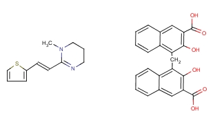
cas no. :22204-24-6
|
| cas registry number: |
22204-24-6
|
| synonyms: |
;1,4,5,6-tetrahydro-1-methyl-2-((e)-2-(2-thienyl)vinyl)pyrimidine 4,4′-methylenebis(3-hydroxy-2-naphthoate);4,4′-methylenebis(3-hydroxy-2-naphthoic acid) compounded with (e)-1,4,5,6-tetrahydro-1-methyl-2-(2-(2-thienyl)vinyl)pyrimidine (1:1);antiminth;cobantril;combantrin;cp-10423-16;dog wormer;helmex;lombriareu;pirantel pamoate;pyrantel embonate;pyrantel pamoate;trilombrin;4,4′-methanediylbis(3-hydroxynaphthalene-2-carboxylic acid) – 1-methyl-2-[2-(thiophen-2-yl)ethenyl]-1,4,5,6-tetrahydropyrimidine (1:1);2-naphthoicacid,4,4′-methylenebis(3-hydroxy-,compd.with(e)-1,4,5,6-tetrahy; |
| molecular formula: |
c34h30n2o6s |
| molecular weight: |
594.6768 |
| molecular structure: |
|