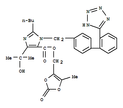
olmesartan
Date:2021-12-08 Categories:Related Application Product
| post date: |
dec 07,2021 |
| expiry date: |
jun 05,2022 |
| detailed description: |
cas no. :144689-78-1
olmesartan 144689-24-7 |
| cas registry number: |
144689-78-1
|
| synonyms: |
;(5-methyl-2-oxo-1,3-dioxol-4-yl)methyl 2-butyl-4-(2-hydroxy-2-propanyl)-1-{[2′-(2h-tetrazol-5-yl)-4-biphenylyl]methyl}-1h-imidazole-5-carboxylate;4-(1-hydroxy-1-methylethyl)-2-propyl-1-[[2′-(1h-tetrazol-5-yl)[1,1′-biphenyl]-4-yl]methyl]-1h-imidazole-5-carboxylic acid;(5-methyl-2-oxo-1,3-dioxol-4-yl)methyl 4-(2-hydroxypropan-2-yl)-2-propyl-1-{[2′-(2h-tetrazol-5-yl)biphenyl-4-yl]methyl}-1h-imidazole-5-carboxylate;4-(2-hydroxypropan-2-yl)-2-propyl-1-{[2′-(2h-tetrazol-5-yl)biphenyl-4-yl]methyl}-1h-imidazole-5-carboxylic acid; |
| molecular formula: |
c30h32n6o6 |
| molecular weight: |
572.61 |
| molecular structure: |
|