offer tannic acid
| post date: | dec 01,2021 |
| expiry date: | dec 31,2021 |
| detailed description: |
cas no. :1401-55-4 quantity: 500metric tons specs:tanni, tannic acid tannic acid(food grade) |
| cas registry number: |
1401-55-4 |
| synonyms: | ;chinese tannin;gallotannic acid;gallotannin;galloylglucose;glycerite;penta nm digalloyl glucose;quebracho;tannins;1,3,6-tris-o-(3,4,5-trihydroxybenzoyl)hexopyranose;1,2,3,4,6-pentakis-o-[(3,4-dihydroxy-5-{[(3,4,5-trihydroxyphenyl)carbonyl]oxy}phenyl)carbonyl]hexopyranose; |
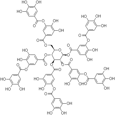
| molecular formula: | c76h52o46 |
| molecular weight: | 1701.1985 |
| molecular structure: |
|
| safety description: | s24/25:; |

