maitake mushroom extract
| post date: | dec 07,2021 |
| expiry date: | dec 07,2022 |
| detailed description: |
cas no. :37339-90-5 quantity: 5000kilograms specs:25%-30% polysaccharides payment method: l/c,t/t,western union,escrow product code:hk120002 latin name: grifola frondosa specification: 25%-30% polysaccharides appearance: gray or beige powder part of the plant used: whole herb medicinal functions: maitake is an edible and medicinal mushroom grows in the northern part of the temperate zone in the northern hemisphere found in japan, china, europe and north america. wild maitake can be harvested in september and october. it forms large hands, mainly near the roots of big fagaceous trees such as white oak, beech, and tanbark oak. it grows in persimmon, plum, apricot, prunus ume and oak trees. it invades the core of these trees. it decomposes lignin and leaves the cellulose, which is the cause of so-called white rot. 1. maitake mushroom (grifola frondosa) may best be known for its cancer-fighting properties. 2. people with type 2 diabetes may also benefit from maitake mushroom, according to researchers hiroaki nanba and keiko kubo, authors of “mushroom biology and mushroom products”. 3. many doctors in japan use maitake mushroom to lower blood pressure and blood lipids, two key risk factors in cardiovascular disease. 4. beinfield also recommends maitake mushroom for stomach ailments. |
| cas registry number: |
37339-90-5 |
| synonyms: | ;bromoduline;drg-0171;lc-33;beta-d-glucopyranosyl-(1->6)-[beta-d-glucopyranosyl-(1->3)-[beta-d-glucopyranosyl-(1->6)]-beta-d-glucopyranosyl-(1->3)-beta-d-glucopyranosyl-(1->3)-beta-d-glucopyranosyl-(1->3)]-beta-d-glucopyranose;polysacharid lentinus edodes;shiitake mushroom extract;maitake mushroom extract; |
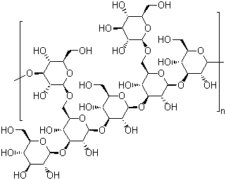
| molecular formula: | c42h72o36 |
| molecular weight: | 1152.9995 |
| molecular structure: |
|

