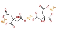
magnesium citrate anhydrous
Date:2021-12-17 Categories:Related Application Product
| post date: |
dec 16,2021 |
| expiry date: |
jun 14,2022 |
| detailed description: |
cas no. :144-23-0
|
| cas registry number: |
144-23-0
|
| synonyms: |
;citroma;magnesium 3-carboxy-3-hydroxypentanedioate(2:3);magnesium 3-carboxy-3-hydroxy-pentanedioate(3:2);magnesium 3-carboxy-3-hydroxy-glutarate(3:2);magnesium citrate,anhydrous;magnesium citrate anhydrous;magnesium citrate;magnesium hydrogen citrate; |
| molecular formula: |
c12h10mg3o14 |
| molecular weight: |
451.11 |
| molecular structure: |
|