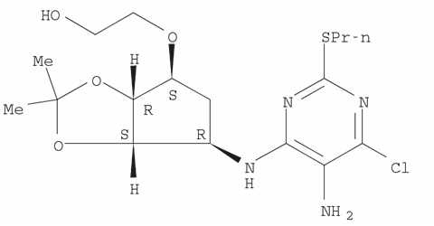
intermediate of ticagrelor 376608-74-1
| post date: | dec 07,2021 |
| expiry date: | dec 07,2022 |
| detailed description: |
cas no. :376608-74-1 quantity: 10 specs:purity: 99% intermediate of ticagrelor |
| cas registry number: |
376608-74-1 |
| synonyms: | ;ethanol, 2-[[(3ar,4s,6r,6as)-6-[[5-amino-6-chloro-2-(propylthio)-4-pyrimidinyl]amino] tetrahydro-2,2-dimethyl-4h-cyclopenta-1,3-dioxol-4-yl]oxy]-;2-[[(3ar,4s,6r,6as)-6-[[5-amino-6-chloro-2-(propylthio)-4-pyrimidinyl]amino]tetrahydro-2,2-dimethyl-4h-cyclopenta-1,3-dioxol-4-yl]oxy]-ethanol;ethanol, 2-[[(3ar,4s,6r,6as)-6-[[5-amino-6-chloro-2-(propylthio)-4-pyrimidinyl]amino]tetrahydro-2,2-dimethyl-4h-cyclopenta-1,3-diox;2-[[(3ar,4s,6r,6as)-6-[[5-amino-6-chloro-2-(propylthio)-4-pyrimidinyl]amino]tetrahydro-2,2-dimethyl-4h-cyclopenta-1,3-dioxol-4-yl] oxy]-ethanol;2-(((3ar,4s,6r,6as)-6-((5-amino-6-chloro-2-(propylthio)pyrimidin-4-yl)amino)-2,2-dimethyltetrahydro-4h-cyclopenta[d][1,3]dioxol-4-yl)oxy)ethan-1-ol; 2-(((3ar,4s,6r,6as)-6-((5-amino-6-chloro-2-(propylthio)pyrimidin-4-yl)amino)-2,2-dimethyltetrahydro-3ah-cyclopenta[d][1,3]dioxol-4-yl)oxy)ethanol; |
| molecular formula: | c17h27cln4o4s |
| molecular structure: |
|

