hydroxy propyl methyl cellulose
| post date: | nov 26,2021 |
| expiry date: | dec 10,2021 |
| detailed description: |
cas no. :9004-65-3 quantity: 3metric tons price:8.2 usd kilograms |
| cas registry number: |
9004-65-3 |
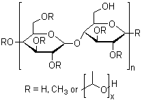
| synonyms: | ;hpmc;(2r,3r,4s,5r,6s)-3,4,5-trimethoxy-2-(methoxymethyl)-6-[(2r,3r,4s,5r,6r)-4,5,6-trimethoxy-2-(methoxymethyl)tetrahydropyran-3-yl]oxy-tetrahydropyran;1-[[(2r,3r,4s,5r,6s)-3,4,5-tris(2-hydroxypropoxy)-6-[(2r,3r,4s,5r,6r)-4,5,6-tris(2-hydroxypropoxy)-2-(2-hydroxypropoxymethyl)tetrahydropyran-3-yl]oxy-tetrahydropyran-2-yl]methoxy]propan-2-ol;hydroxypropyl methylcellulose;hydroxypropyl methyl cellulose;hpmcp-hp55; |
| molecular formula: | c12h20o10 |
| molecular weight: | 324.2848 |
| molecular structure: |
|
| safety description: | s24/25:; |

