Hotline

edta calcium salt

  post date: dec 16,2021
  expiry date: jun 14,2022
  detailed description: cas no. :62-33-9;3355-89-9;68162-45-8;69843-95-4;74011-06-6;7732-93-6;100333-49-1;108703-54-4;12002-29-8;12558-50-8;1282-71-9;1288-07-9;19067-42-6;35-00-7;39208-14-5;50322-17-3;5297-15-4;5639-01-0;56532-88-8;57131-51-8;61864-74-2;63042-69-3

  cas registry number:

62-33-9;3355-89-9;68162-45-8;69843-95-4;74011-06-6;7732-93-6;100333-49-1;108703-54-4;12002-29-8;12558-50-8;1282-71-9;1288-07-9;19067-42-6;35-00-7;39208-14-5;50322-17-3;5297-15-4;5639-01-0;56532-88-8;57131-51-8;61864-74-2;63042-69-3

  synonyms: ;calcium disodium ethylenediamine tetraacetic acid;disodium calcium edta;edetate calcium disodium (anhydrous);(ethylenedinitrilo)tetraacetic acid calcium disodium salt;acetic acid, (ethylenedinitrilo)tetra-, calcium disodium salt;adsorbonac;antalin;ccris 3657;calciate(2-), ((n,n’-1,2-ethanediylbis(n- (carboxymethyl)glycinato))(4-)-n,n’,o,o’,o(n),o(n’))-, disodium, (oc-6-21)-;calciate(2-), ((n,n’-1,2-ethanediylbis(n- (carboxymethyl)glycinato))(4-)-n,n’,o,o’,on,on’), disodium, (oc-6-21)-;calciate(2-), ((ethylenedinitrilo)tetraacetato)-, disodium;calciedetate de sodium;calcioedetato sodico;calcitetracemate disodium;calcium edta;calcium disodium (ethylenedinitrilo)tetraacetate;calcium disodium edathamil;calcium disodium edetate;calcium disodium ethylendiaminetetraacetate;calcium disodium ethylenediaminetetraacetate;calcium disodium versenate;calcium edetate de sodium;calcium sodium edta;calcium titriplex;calcium-edta;chelaton;dinatrium calcium edeticum;disodium ((ethylenedinitrilo)tetraacetato)calciate;disodium calcium ethylenediaminetetraacetate;disodium monocalcium edta;edta calcium disodium salt;edta disodium calcium salt;edathamil calcium disodium;edetamin;edetamine;edetate calcium;edetate calcium disodium;edetato sodico calcico;edetic acid calcium disodium salt;edta,calcium;edta,calcium disodium;edta-calcium sodium;edtacal;ethylenediaminetetraacetic acid calcium disodium salt;ethylenediaminetetraacetic acid calcium disodium salt (1:1:2);ethylenediaminetetraacetic acid, calcium disodium chelate;ethylenediaminetetracetic acid calcium sodium salt (1:1:2);glycine, n,n’-1,2-ethanediylbis(n-(carboxymethyl)-, calcium sodium salt (1:1:2);hsdb 4072;ledclair;monocalcium disodium edta;mosatil;nsc 310151;natrii calcii edetas;rikelate calcium;sodium (calciedetate de);sodium calcium edetate;sodium calciumedetate;sormetal;tetacin;tetacin-calcium;tetazine;unii-8u5d034955;versene;versene ca;calciate(2-), ((n,n’-1,2-ethanediylbis(n-((carboxy-kappao)methyl)glycinato-kappan,kappao))(4-))-, disodium, (oc-6-21)-;calciate(2-), ((n,n’-1,2-ethanediylbis(n-((carboxy-kappao)methyl)glycinato-kappan,kappao))(4-))-, sodium (1:2), (oc-6-21)-;calciate(2-), ((n,n’-1,2-ethanediylbis(n- (carboxymethyl)glycinato))(4-)-n,n’,o,o’,on,on’)-, disodium, (oc-6-21)- (9ci);ethylene diamine tetraacetic acid, disodium calcium salt;ethylenediaminetetraacetic acid disodium calcium salt;ethylensdiaminetetraacetic acid disodium calcium salt;ethylendiaminetetraacetic acid disodium calcium salt;2,2′,2”,2”’-(ethane-1,2-diyldinitrilo)tetraacetic acid;calcium sodium 2,2′,2”,2”’-(ethane-1,2-diyldinitrilo)tetraacetate (1:2:1);2-[(4-ethyl-5-thiophen-2-yl-4h-1,2,4-triazol-3-yl)sulfanyl]-1-[1-(4-fluorophenyl)-2,5-dimethyl-1h-pyrrol-3-yl]ethanone;edta calcium salt;edta-cana2;edta calcium disodium;
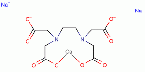
  molecular formula: c10h12can2na2o8
  molecular weight: 374.2684
  molecular structure: 62-33-9;3355-89-9;68162-45-8;69843-95-4;74011-06-6;7732-93-6;100333-49-1;108703-54-4;12002-29-8;12558-50-8;1282-71-9;1288-07-9;19067-42-6;35-00-7;39208-14-5;50322-17-3;5297-15-4;5639-01-0;56532-88-8;57131-51-8;61864-74-2;63042-69-3 calcium disodium edta

  hazard symbols:  xi:irritant;
  risk codes: r36/37/38:;
  safety description: s26:;
s36:;

Tags:
Prev:
Next: