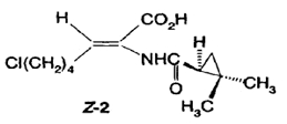
7-chloro-2-[[[(1s)-2,2-dimethylcyclopropyl]carbonyl]amino]-2-heptenoic acid
| post date: | dec 01,2021 |
| expiry date: | may 30,2022 |
| detailed description: | cas no. :877674-77-6 |
| cas registry number: |
877674-77-6 |
| synonyms: | ;cdcha;(z)-(s)-7-chloro-2-(2,2-dimethylcyclopropanecarboxamido)-2-heptenoic acid;7-chloro-2-[[[(1s)-2,2-dimethylcyclopropyl]carbonyl]amino]-2-heptenoic acid; |
| molecular formula: | c13h20clno3 |
| molecular weight: | 273.76 |
| molecular structure: |
|

